每月投资2000元人民币,年化收益率为10%,投资期限为8年,逐步计算8年后的总金额。计算基于以下假设和金融公式:

  关键假设:

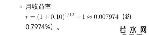
投资时间:默认每月投资发生在期末(即月末),使用普通年金公式。如果投资发生在期初,结果会略有不同(我会在最后说明)。收益率处理:年化收益率为10%,这是年复利下的有效年利率。因此,需将年化收益率转换为月收益率:

基金收益计算

  投资期数:8年 × 12个月 = 96个月。

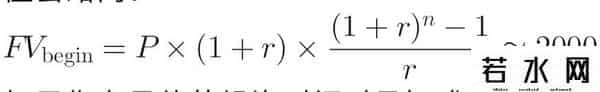
计算公式:使用普通年金的未来价值公式:

基金收益计算

  计算步骤:

基金收益计算

  结果:

  8年后的总金额约为 286,200元(四舍五入到整数)。

  附加说明:

本金投入总额:每月投资2000元,持续96个月,总本金为 2000 × 96 = 192,000 元。总收益为286,200-192,000= 94,200 元。如果投资发生在期初:如果每月投资发生在月初(即期初年金),则需调整公式,未来价值会略高:

基金收益计算

如果您有具体的投资时间(月初或月末),请提供更多细节以优化计算。收益率注意事项:年化收益率10%假设年复利,因此月收益率是通过 (1.10)^(1/12)-1 计算的。如果使用近似月利率(如0.10 / 12 ≈ 0.008333),结果会偏高(约292,100元),但这种方式不精确,因为它会改变实际年化收益率(变为约10.47%)。实际影响:投资中可能涉及费用、税费或市场波动,此计算未考虑这些因素。实际基金收益也可能有浮动,因此结果是一个理论估值。