点击上方超级数学建模可加关注
传播数学干货,学会理性的方式去思考问题
原文标题:非常神奇的数学结论有哪些?
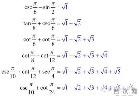
是不是感觉很神奇,是不是觉得背后一定有规律我这就来揭示背后的规律.
(^-^)V
不好意思,这是我凑的.压根儿没有这种规律.
有趣的地方在这里,只有满足
的A才能被二次根式表示,所以7以上的情况就不存在了.
---------------------正经的分界线--------------------
Well,不开玩笑了.(≧≦)ゞ
举这个例子只是想说明什么叫神奇.也就是 有视觉冲击力或者超乎常理.
术业有专攻,别的领域我就不瞎说了,我就说说分形几何.
取一个边长为1的正四面体...这是个三维物体.
嗯,没错,我想说的就是Sierpinski Pyramid.
这玩意的面积是,我没说体积,因为它的 Hausdorff维度是2.没有体积.
什么(o゜▽゜)o☆ 你跟我说一个竖着的有长宽高的东西是二维的!!
看来即使被降维打击后还是能维持三维存在之尊严的.
被二向箔打中除了会变纸片人以外还能变成筛子人.
Sierpinski Pyramid的二维形式Sierpinski Triangle可以通过如下方式生成:
画一个二项展开三角.把所有的奇数全部圈出来,就得到了谢宾斯基三角形.
(或者叫 贾宪---杨辉---帕斯卡三角,按时间标上去,有效避免署名纠纷)
上面的描述等价于擦掉 N mod 2 = 0的数,很容易想到mod其他数会怎么样.
我们来看看,感觉有的图有规律,有的却没有.

万能的教主Stephen Wolfram殿下证明了如下结论:当k为素数时,其Hausdorff维度为
二项式,素数与分形结合到了一起,相当的有趣.
另外如果写 三项式展开三棱锥 的话能得到类似的结论.
有个图形XoY平面上是科赫曲线,Z轴上是康托尔尘集,求其分形维度.
两个分形的笛卡尔积的分形维度等于各自的分形维度之和.这个结论非常好用.
=_=:难道整数维不是这样的吗.(ov)ノ其实这个主要佐证了就算某存在的维度低于三维你作为三维生物也无法想象.并且笛卡尔积给出了这么一种构造方法.
之前有人说过了Mandelbrot集中每个点对应一个Julia集.我补张图.

好像没啥好说了.我是不是偏题了....(^^●)我看看还有啥.....
禅师体里各种填充满三维的曲线:谢宾斯基曲线,希尔伯特曲线,莫里曲线,勒贝格曲线,皮亚诺曲线.....ORZ,都是各个分支大佬的名字啊.
来几个现实里的:
分形维最低的大陆毫无疑问是南极洲,但是分形维最低的国家不太好说.
西兰花的分形维度比花椰菜高很多.(所以营养会高点吗)
人体肺部的轮廓,(我没说肺,肺当然是三维的)可能是分形维度最高的.(很接近3,比大脑高的多)
------------------大雾------红色警报---------------
三加一猜想等价于求
的无穷迭代.
(注:这个函数满足奇数3x+1,偶数x/2)
无穷迭代的收敛点么就是分形图中的黑色部分喽,用Ultra Fractal渲染下.
(注,这个函数满足奇数3x+1,偶数x/2)
无穷迭代的收敛点么就是分形图中的黑色部分喽,用Ultra Fractal渲染下.
所有的整数点都在黑色的收敛域里面,由自相似特性就可知对于任意正整数成立了.
角谷猜想,卒~~~~ (╯﹏╰)
虽然是扯淡,但是分形用于研究迭代的混沌与秩序确实非常有效.
------------------更新线--------------
无限周长有限面积貌似不是分形的特征吧,反常积分也行啊.
比如{y=0,x=1,y=x^(-2)}围成的区域面积是1,周长也是无穷大.
推荐Geometric Measure Theory,比较"正统".从IFS开始学也不错,这个起点低.另外还有混沌到分形这条路,不推荐用这个学.
.
这是传说中笛卡尔公主的表白神器:心脏线.(雾)
说屁股的面壁去.()
Mandelbrot集中也有,而且因为自相似性质有无穷个.
(注:艺术上M集指整张图,数学上M集一般说的是黑色部分,特殊情况特指边界,极少指外界)
对于M集我几乎是一无所知,那几个大圆都是连在心脏线上的,但是不是心脏线只能连接圆形
不得而知,连M集的面积是多少也不知,书上写边界的分形维度是2,这么说边界还是遍历性的
心脏线其实是二次外摆线,一次外摆线那就是圆了.那还有三次外摆线(肾形线)啥的.
正好三次外摆线对应三次M集:N次外摆线对应N次M集合
二次M集中只有圆能连心脏线的话,那三次M集中所有连着蓝线的都是心脏线.
分形图中很多东西只能说是这样而说不出为什么是这样.越研究越感到神奇.
分形是一门新学科,有太多神奇之处等着去解密.
------------最近看到个有趣的------------
把两个莫比乌斯环背靠背粘一起,然后沿各自的中线剪开,就得到了这个.

表白神器啊有木有!!! o(︶︿︶)
o注意要相反手性的,一个顺着翻转,一个反这翻转
小编:我经常盯着这些图难以自拔。。。
via:酱紫君(知乎)
作者已授权
每天阅读数学文章
锻炼自己的理性思维
学会理性应对生活问题
本文标题:禅师体
本文链接:http://www.hniuzsjy.cn/cxzt/caiku/284141.html
