正弦定理和余弦定理是我们在高中数学学习中遇到的一组非常重要的定理,它们揭示了三角形的边角关系,将两者搭配使用能解决很多(斜)三角形问题.
你或许曾疑惑为什么要学习这两个定理,难道仅仅是为了解题吗?不!实际上,这两个定理有着非常美妙的应用,非常可惜的是,我们刷了很多题,却忽视了其背后蕴含的数学之美.
今天,小编就和大家来聊一聊为什么我们要学习正弦定理和余弦定理.
1 正弦定理和余弦定理
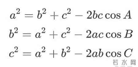
首先,我们来回顾一下什么是正弦定理和余弦定理:
正弦定理在中,若角ABC所对边的边长分别为abc,则有

余弦定理在中,若角所对边的边长分别为,则有

利用正、余弦定理,我们可以解决大量的实际问题.
2 正、余弦定理与神秘的流星

流星是一种天文现象,这几乎是每个现代人都熟知的事实,但是当我们穿越历史的迷雾,就会发现人类对于流星的认知并非是从一开始就清晰明了的.
人们曾一度猜测,天空中划过的流星是一种地球的蒸发物,亦或是地球上的磷火升空后的燃烧现象.直到18~19世纪之交,德国天文学家本森伯格和布兰德斯采用三角学方法精彩地论证了流星实际上是“天外来客”.

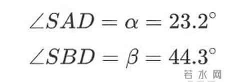
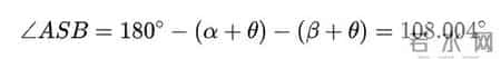
如图,设有两个观测者在地球上的两个观测点,他们对同一颗流星进行观测,其中AB=500km,由地球半径可得

因此

已知两个观测者的仰角分别为

则

由正弦定理得

可算出

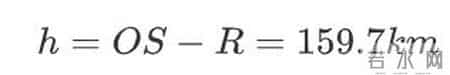
再由余弦定理可得

也就是说,流星距离地表的高度约为

然而,科学发现云层的高度不超过,因此我们可以断定,流星不可能是地球上的某种蒸发物,它一定是天外来客!可见,正是正弦定理和余弦定理帮助人类迈出了正确认知这种神秘天文现象的第一步.
3 正、余弦定理与测量问题
正、余弦定理在数学史中与测高、测距等实际问题紧密相关.17世纪以后,随着三角学的发展,人们更多地运用三角学来解决诸多测量问题.特别是到18世纪初,法国数学家马雷(1630—1706)在其著作《实用几何学》中讨论了几类经典的三角学应用问题.

问题Ⅰ:如图,如何测量海岛上某建筑物的高度?
一方面,这个问题的困难之处在于无法测量出观测点到建筑物底部的距离,但是另一方面,借助当时已经发明出来的测角仪,我们可以测量出两个观测点与建筑物底部、建筑物顶部之间产生的各种角度,并且两个陆地观测点之间的距离也是可以知道的.
对此我们可以抽象出如下数学模型:

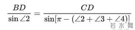
已知以及角1234以及 CD,求AB.
解答:在中,由正弦定理:

所以

同理,在中,由正弦定理可得:

计算出和后,在中利用余弦定理可得:

这样测高问题就迎刃而解了.
相对应的,有测高问题就有测距问题.

问题Ⅱ:如图,如何测量某两个海岛建筑物之间的距离?
实际上,有了问题Ⅰ的铺垫,我们就可以比较轻松地理解并解决问题Ⅱ了,将其抽象为如下模型:

仿照上述测高问题的解决方法,我们只要分别在和中使用两次正弦定理算出和,然后在中运用余弦定理算出即可.
可见,测高问题和测距问题贯穿了整个三角学的发展历程.实际上,三角学在测量领域的重要影响从其英文名“Trigonometry”就可见一斑:这个单词最早是由德国数学家毕蒂克斯(B.Pitiscus,1561~1613)于1595年首创,由希腊文“trigono”(三角)和“metrein”(测量)组合而成,其原意便是三角学的测量.各种测量问题是三角学要研究的基本问题,而后来三角学的涵义越来越丰富,逐渐成为研究三角函数及其应用的一个数学分支.
4 正、余弦定理与平面几何
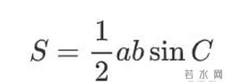
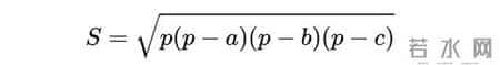
有些初等几何问题用纯几何的方法求解往往比较困难,但是当我们借助正、余弦定理,则问题就可以得到简化.例如,古希腊数学家海伦在其著作《测量学》一书中提出了著名的“海伦公式”:
已知三边,记称为半周长,则三角形面积为
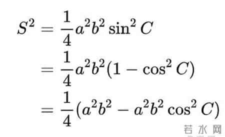
这个优美的公式有一个漂亮的几何论证方法,这里不再赘述.实际上,我们也可以通过正、余弦定理来对其进行推导:
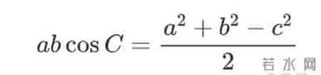
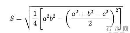
已知两边及其夹角,我们有
则
由于余弦定理,可得
所以
值得一提的是,这个公式被称为“三斜求积术”,由我国南宋著名数学家秦九韶发现,将其进一步变形就可得到海伦公式,两者是等价的.
对上述公式进一步处理,得到
令,则有
[1]汪晓勤.HPM:数学史与数学教育[M].科学出版社,2017.[2]汪晓勤,沈中宇.数学史与高中数学教学——理论、实践与案例[M].华东师范大学出版社,2020.
转载内容仅代表作者观点
不代表中科院物理所立场
如需转载请联系原公众号
来源:大小吴的数学课堂
编辑:just_iu